长春应化所在碱土金属有机氢化物研究中取得进展
碱土金属(第二主族元素)具有价格低廉、无毒的优势,而且碱土金属有机氢化物可广泛应用于许多有机当量和催化反应中。但是随着碱土金属离子半径的增大,相应氢化物的离子性以及键长增加、键能降低,更易发生Schlenk重排,存在合成与分离困难的问题。
为了克服重排副反应的发生,中国科学院长春应用化学研究所程建华研究团队采用大位阻五芳基环戊二烯基配体,成功地合成了一系列半三明治结构的重碱土金属烷基化合物(CpAr)Ae[CH(SiMe3)2](S) (CpAr = C5Ar5, Ar = 3,5-iPr2-C6H3; S = THF or DABCO),并在正己烷溶剂、中压条件下进行氢化反应得到相应的双核重碱土金属氢化物[(CpAr)Ae(m-H)(S)]2 (Ae = Ca, S = THF; Ae = Sr, Ba, S = DABCO)。实现了利用同一种配体稳定结构相同的重碱土金属(钙、锶和钡)氢化物,填补该领域研究的空白。(图1)
重碱土金属氢化物可以在温和的条件下(30℃, 6 bar H2, 5% Cat.)高效地催化二取代、三取代共轭烯烃以及1-己烯加氢反应,催化剂的活性以及反应底物的适用范围随碱土金属的离子半径增大而增加(Ca2+ < Sr2+ < Ba2+)。(Angew. Chem. Int. Ed., 2019, 58, 4356-4360)
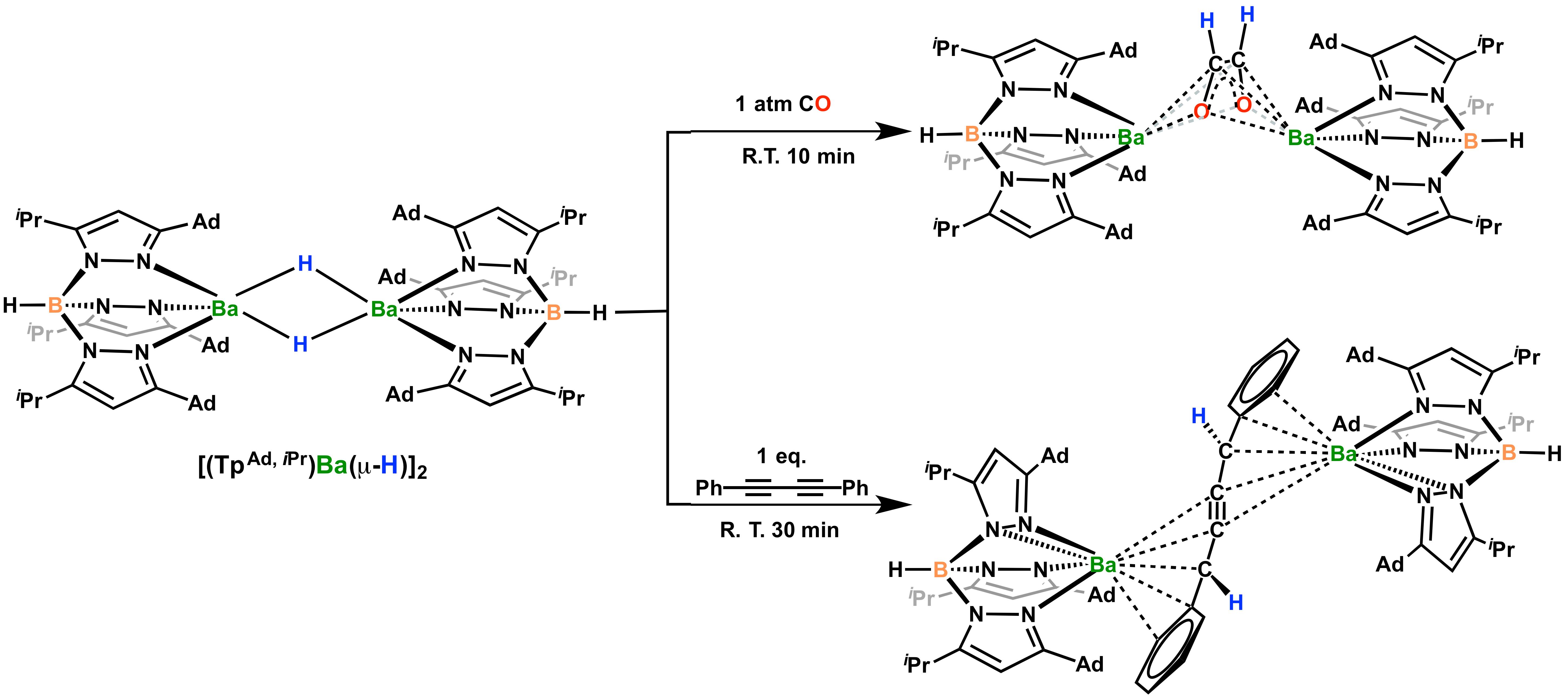
另外,该研究团队前期还报道了大位阻的三吡唑基硼配体TpAd,iPr可以稳定碱土金属钡氢化物[(TpAd,iPr)Ba(m-H)]2,并初步考察其与有机小分子的反应性(图2)。例如:与CO反应时,发生了CO的还原反应以及碳-碳偶联反应生成顺式乙烯基二醇负二离子;与丁二炔反应时,发生两次末端加氢反应,随后通过重排反应生成2-丁炔负二离子。(Angew. Chem. Int. Ed., 2017, 56, 16650-16653)
该研究工作得到了中科院和国家自然科学基金项目的资助。

图 1. 五芳基环戊二烯基重碱土金属氢化物的合成以及催化烯烃氢化反应

图 2. 三吡唑基硼金属钡氢化物[(TpAd,iPr)Ba(m-H)]2的反应性
(高分子物理与化学国家重点实验室)
)

